Just like whole numbers, fractions can also be added. The difference is that when counting improper fractions and mixed numbers, we are now counting the number wholes and parts.
Let’s work through an example to demonstrate how we add mixed numbers and improper fractions.
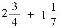
The example is: add the fractions

Step 1: Convert all mixed numbers into improper fraction.


Step 2: Do you have a common denominator? If not, find a common denominator.
List the multiples of 4:

List the multiples of 7:
![]()
The Lowest Common Multiple (LCM) between 4 and 7 is 28.
Step 3: Create equivalent fractions.
We need to find the number when multiplied to the top and bottom of 11/4 we get the LCM of 28 as the new denominator.

4 x 7 = 28, so we need to multiply the numerator and the denominator by 7.

Now, we need to find the number when multiplied to the top and bottom of 8/7 we get the LCM of 28 as the new denominator.

7 x 4 = 28, so we need to multiply the numerator and the denominator by 4.

Step 4: Add the numerators and keep the denominator the same.

Step 5: Reduce the fraction to a mixed number.

For practice, we offer free fractions worksheets on adding and subtracting mixed numbers and fractions in our grade 4 fractions section, our grade 5 fractions section and our grade 6 fractions section.